Ir al contenido
Materiales Educativos
Repositorio de Materiales Didácticos | UPSO
Acceso para docentes
Taller: Matemática Financiera
Unidad 1 - Interés Simple y Compuesto
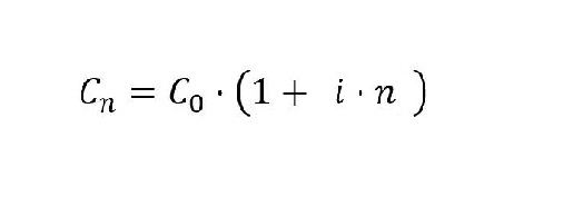
Interés Simple: definición.
VER video explicativo